欢迎来到第壹文秘! | 帮助中心 分享价值,成长自我!
第壹文秘
全部分类
  • 幼儿/小学教育>
  • 中学教育>
  • 高等教育>
  • 研究生考试>
  • 外语学习>
  • 资格/认证考试>
  • 论文>
  • IT计算机>
  • 法律/法学>
  • 建筑/环境>
  • 通信/电子>
  • 医学/心理学>
  • ImageVerifierCode 换一换
    首页 第壹文秘 > 资源分类 > DOCX文档下载
    分享到微信 分享到微博 分享到QQ空间

    磁悬浮力的测量.docx

    • 资源ID:443283       资源大小:81.92KB        全文页数:7页
    • 资源格式: DOCX        下载积分:5金币
    快捷下载 游客一键下载
    账号登录下载
    三方登录下载: 微信开放平台登录 QQ登录
    下载资源需要5金币
    邮箱/手机:
    温馨提示:
    快捷下载时,如果您不填写信息,系统将为您自动创建临时账号,适用于临时下载。
    如果您填写信息,用户名和密码都是您填写的【邮箱或者手机号】(系统自动生成),方便查询和重复下载。
    如填写123,账号就是123,密码也是123。
    支付方式: 支付宝    微信支付   
    验证码:   换一换

    加入VIP,免费下载
     
    账号:
    密码:
    验证码:   换一换
      忘记密码?
        
    友情提示
    2、PDF文件下载后,可能会被浏览器默认打开,此种情况可以点击浏览器菜单,保存网页到桌面,就可以正常下载了。
    3、本站不支持迅雷下载,请使用电脑自带的IE浏览器,或者360浏览器、谷歌浏览器下载即可。
    4、本站资源下载后的文档和图纸-无水印,预览文档经过压缩,下载后原文更清晰。
    5、试题试卷类文档,如果标题没有明确说明有答案则都视为没有答案,请知晓。

    磁悬浮力的测量.docx

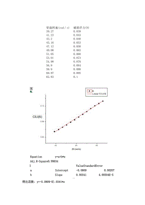
    铝盘转速(rads)磁悬浮力(N)39.270.03941.230.04343.20.04845.160.05347.120.05849.080.06351.050.06853.010.07354.980.07856.90.08458.90.08860.870.09562.830.1Equationy=a+b*xAdj.R-Square0.99834IValueStandardErroraIntercept-0.08090.00207bSlope0.003414.00504E-5一得出函数:y=-0.0809-K).0341*x(x:铝盘转速(rad/8);y:磁悬浮力(N)铝盘转速(rads)磁牵引力(N)39.270.47641.230.50043.20.52345.160.54647.120.5749.080.59351.050.61653.010.63954.980.66256.940.68458.90.70860.870.73162.830.753Equationy=a+b*xAdj.R-Square0.99891ValueStandardErrorF(N)a0.011420.00754F(N)b0.015341.461E-4得出函数:y=0.01142+0.01534*x;(y:磁牵引力(N);x:铝盘转速(rad/s);)磁悬浮传动系统铝盘转速(rad/s)39.2741.2343.245.1647.1249.0851.0553.0154.9856.9458.960.8762.83传动转速(rad/s)46.649.9251.6656.0359. 6960. 7465.869.8273.8377.3178.7281.586.22Equation-b-w2rad/s.LinearFitofw2rad/s.Adj.R-Square0.99425ValueStandardErrorw2rad/sIntercept-20.448631.91591w2rad/sSlope1.69320.03715得出函数:y=-20.44863+1.6932*x;(x:铝盘转速(rad/s);y:传动转速(rads)卡片厚度与牵引力的关系f=27000Hz;vv=53.01rad/s;d=0.66mm.卡片厚度D(mm)磁牵引力F(N)0.661.3071.320.7571.980.592.640.3863.30.2883.960.2234.620.1535.280.113D(mm)ModelPolynomialAQR-Square0.99074ValueStandardErrF(N)Intercept2616750.39779F(N)B1-2944391.05971F(N)B21.789350.95415F(N)B3-0.577350.37963F(N)B40.091330.06871F(N)B5-0005570.00462Y=2.61675-2.94439*X+1.78935*X2-0.57735*X3+0.09133*X4-0.00557*Xs;(Y:磁牵引力(N);X:卡片厚度(mm)。卡片厚度与磁悬浮力的关系:f=27000 Hz ;卡片厚度D (mm)0. 661.321.982. 643.33. 964. 625. 28vv=53.01 rad/s ;d=0.66 mm磁悬浮力F (N)0. 1570. 110. 0730. 0510. 0370. 0260.0170.015ModelPolynomialAdj.R-Square0.99988ValueStandardErrorF(N)Intercept0.2010.00559F(N)B1-0.050660.01488F(N)B2-0.037970.0134F(N)B30.024070.00533F(N)B4-0.004939.64914E-4F(N)B53.48068E-46.48199E-5得出函数:Y=0.201-0.05066*X-0.03797*X2+0.02407*X3-0.00493*X4(Y:磁悬浮力(N);X:卡片厚度(mm)。

    注意事项

    本文(磁悬浮力的测量.docx)为本站会员(p**)主动上传,第壹文秘仅提供信息存储空间,仅对用户上传内容的表现方式做保护处理,对上载内容本身不做任何修改或编辑。 若此文所含内容侵犯了您的版权或隐私,请立即通知第壹文秘(点击联系客服),我们立即给予删除!

    温馨提示:如果因为网速或其他原因下载失败请重新下载,重复下载不扣分。




    关于我们 - 网站声明 - 网站地图 - 资源地图 - 友情链接 - 网站客服 - 联系我们

    copyright@ 2008-2023 1wenmi网站版权所有

    经营许可证编号:宁ICP备2022001189号-1

    本站为文档C2C交易模式,即用户上传的文档直接被用户下载,本站只是中间服务平台,本站所有文档下载所得的收益归上传人(含作者)所有。第壹文秘仅提供信息存储空间,仅对用户上传内容的表现方式做保护处理,对上载内容本身不做任何修改或编辑。若文档所含内容侵犯了您的版权或隐私,请立即通知第壹文秘网,我们立即给予删除!

    收起
    展开